UROKAMNET.RU
Все задания под рукой
Диамид
17.11.2025

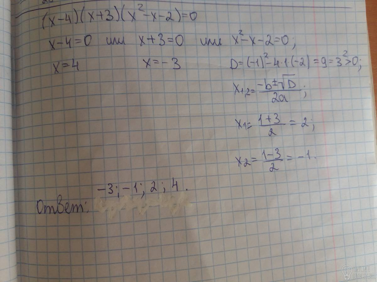
Разложить на множители 2x^4+x^3-15x^2+4x+12=0
Ответ такой: (x-4)(x+3)(x^2-x-2). Нужно решение

Ответы (1)

Знаете правильный ответ?

Думаешь ответы не верны?

Найди верный ответ на вопрос по предмету Математика, если вы не получили ответа или никто не дал верного ответа, то рекомендуется воспользоваться поиском и попытаться найти ответ на свой вопрос среди похожих запросов.

Новые вопросы по предмету Математика:

  1. Ответов 1
  2. Ответов 1
  3. Ответов 1
  4. Ответов 1
  5. Ответов 8
  6. Ответов 2
  7. Ответов 1
  8. Ответов 1
  9. Ответов 1
  10. Ответов 1
© 2025