UROKAMNET.RU
Все задания под рукой
Эделина
03.11.2025

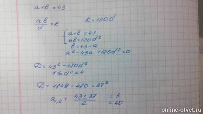
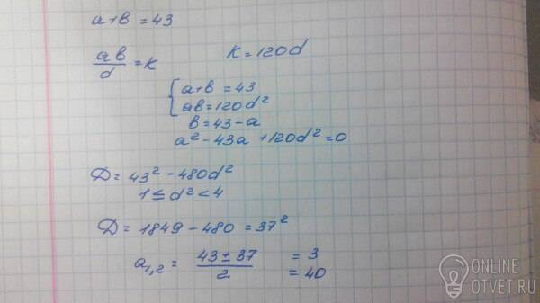
Помогите решить задачу : сумма двух натуральных чисел равна 43, а их наименьшее общее кратное в 120 раз больше их наибольшего общего делителя. Найдите эти числа.

Ответы (1)

Знаете правильный ответ?

Думаешь ответы не верны?

Найди верный ответ на вопрос по предмету Математика, если вы не получили ответа или никто не дал верного ответа, то рекомендуется воспользоваться поиском и попытаться найти ответ на свой вопрос среди похожих запросов.

Новые вопросы по предмету Математика:

  1. Ответов 1
  2. Ответов 1
  3. Ответов 1
  4. Ответов 1
  5. Ответов 8
  6. Ответов 2
  7. Ответов 1
  8. Ответов 1
  9. Ответов 1
  10. Ответов 1
© 2025