UROKAMNET.RU
Все задания под рукой
Васиф
02.11.2025

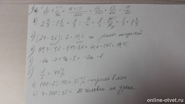
ПОМАГИТЕ СРОЧНО ОТДАМ ВСЕ БАЛЛЫ !!!!!
Все

Ответы (1)

Знаете правильный ответ?

Думаешь ответы не верны?

Найди верный ответ на вопрос по предмету Математика, если вы не получили ответа или никто не дал верного ответа, то рекомендуется воспользоваться поиском и попытаться найти ответ на свой вопрос среди похожих запросов.

Новые вопросы по предмету Математика:

  1. Ответов 1
  2. Ответов 1
  3. Ответов 1
  4. Ответов 1
  5. Ответов 8
  6. Ответов 2
  7. Ответов 1
  8. Ответов 1
  9. Ответов 1
  10. Ответов 1
© 2025