UROKAMNET.RU
Все задания под рукой
Санчир
09.10.2025

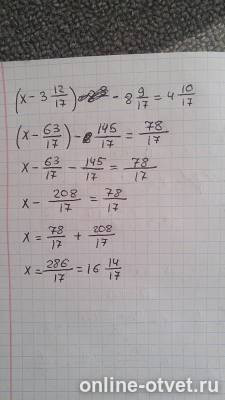
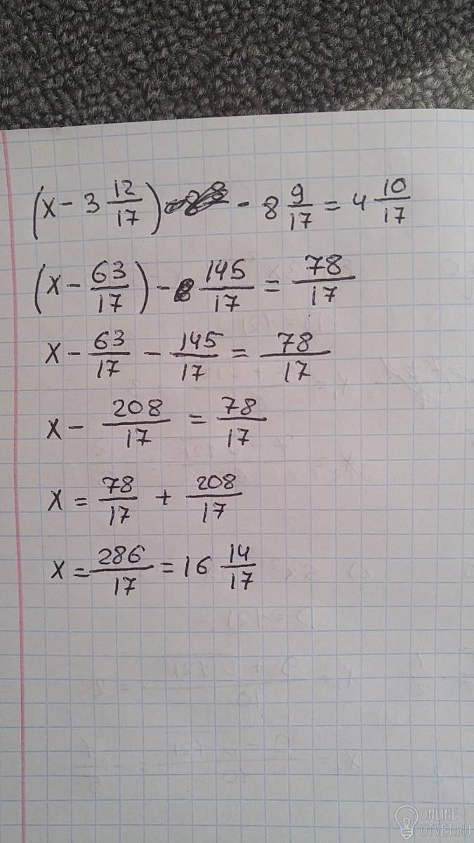
Решите уравнение:

(x-3) - 8=4

Ответы (1)

Знаете правильный ответ?

Думаешь ответы не верны?

Найди верный ответ на вопрос по предмету Математика, если вы не получили ответа или никто не дал верного ответа, то рекомендуется воспользоваться поиском и попытаться найти ответ на свой вопрос среди похожих запросов.

Новые вопросы по предмету Математика:

  1. Ответов 1
  2. Ответов 1
  3. Ответов 1
  4. Ответов 1
  5. Ответов 8
  6. Ответов 2
  7. Ответов 1
  8. Ответов 1
  9. Ответов 1
  10. Ответов 1
© 2025