UROKAMNET.RU
Все задания под рукой
Кале
21.10.2025

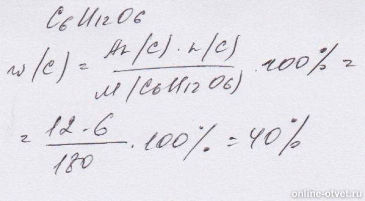
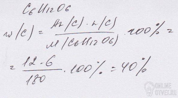
Масова частка Карбону в молекулі глюкози?

Ответы (1)

Знаете правильный ответ?

Думаешь ответы не верны?

Найди верный ответ на вопрос по предмету Химия, если вы не получили ответа или никто не дал верного ответа, то рекомендуется воспользоваться поиском и попытаться найти ответ на свой вопрос среди похожих запросов.

© 2025