UROKAMNET.RU
Все задания под рукой
Барон
10.12.2024

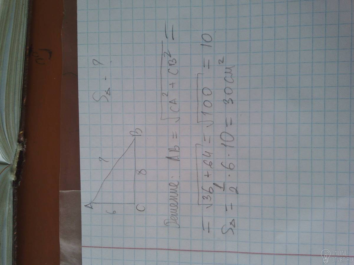
Катеты прямоугольного треугольника равны 6 и 8 см. Найдите гипотенузу и площадь треугольника

Ответы (1)

Знаете правильный ответ?

Думаешь ответы не верны?

Найди верный ответ на вопрос по предмету Геометрия, если вы не получили ответа или никто не дал верного ответа, то рекомендуется воспользоваться поиском и попытаться найти ответ на свой вопрос среди похожих запросов.

© 2025