UROKAMNET.RU
Все задания под рукой
Сопа
26.11.2024

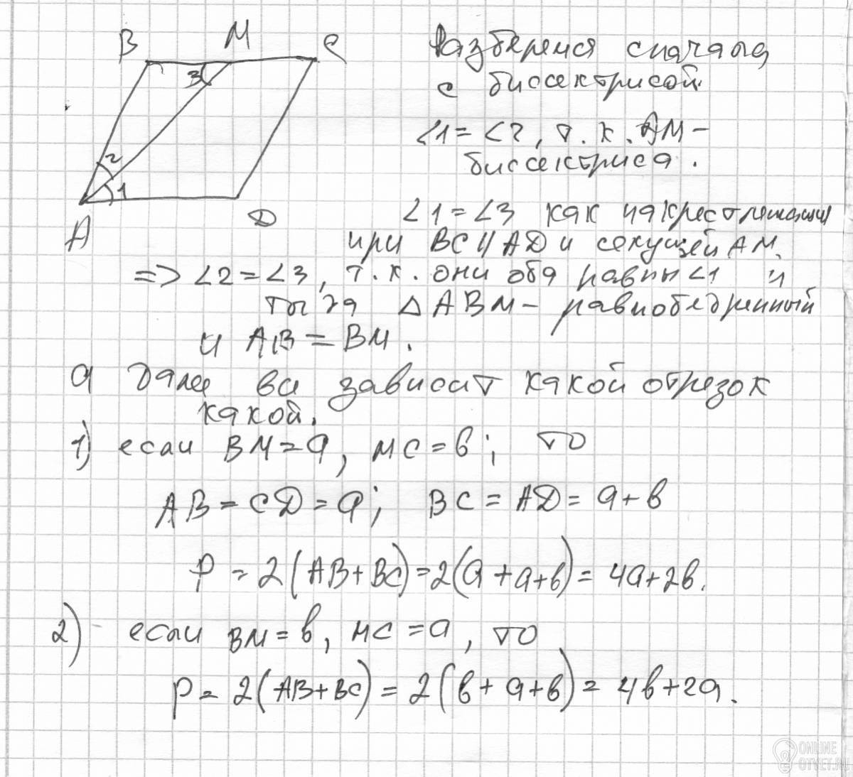
Бісектриса кута паралелограма ділить одну із його сторін на вірізки а і в виначити P парелограма

Ответы (1)

Знаете правильный ответ?

Думаешь ответы не верны?

Найди верный ответ на вопрос по предмету Геометрия, если вы не получили ответа или никто не дал верного ответа, то рекомендуется воспользоваться поиском и попытаться найти ответ на свой вопрос среди похожих запросов.

© 2025