UROKAMNET.RU
Все задания под рукой
Драга
25.11.2024

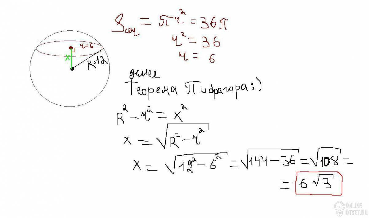
Шар радиуса 12 см пересечен полностью. Площадь сечения шара равна 36 см2. Найдите расстояние от центра шара до секущей плоскости

Ответы (1)

Знаете правильный ответ?

Думаешь ответы не верны?

Найди верный ответ на вопрос по предмету Геометрия, если вы не получили ответа или никто не дал верного ответа, то рекомендуется воспользоваться поиском и попытаться найти ответ на свой вопрос среди похожих запросов.

© 2025