UROKAMNET.RU
Все задания под рукой
Алаутдин
10.11.2024

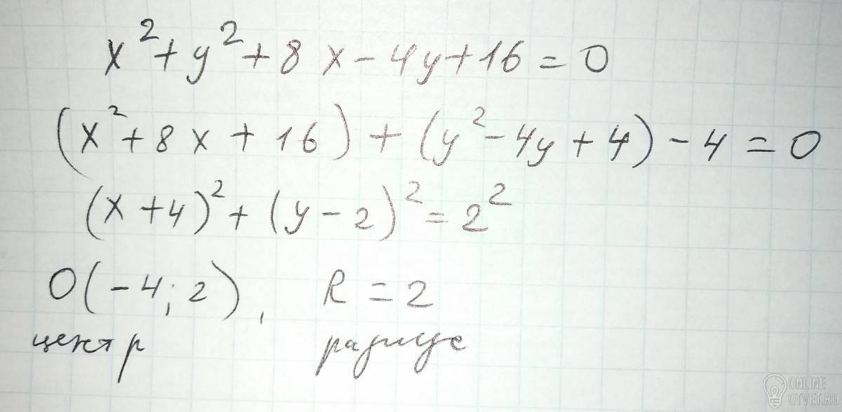
Найдите координаты цента и радиуса окружности заданной уравнением х^2+у^2+8х-4у+16=0

Ответы (1)

Знаете правильный ответ?

Думаешь ответы не верны?

Найди верный ответ на вопрос по предмету Геометрия, если вы не получили ответа или никто не дал верного ответа, то рекомендуется воспользоваться поиском и попытаться найти ответ на свой вопрос среди похожих запросов.

© 2025