UROKAMNET.RU
Все задания под рукой
Идея
09.11.2024

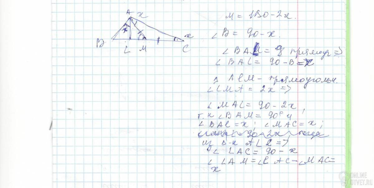
Медиана и высота треугольника проведенные из одной вершины угла треугольника делят этот угол на 3 равные части докажите что треуг прямоугольный
СРОЧНО

Ответы (1)

Знаете правильный ответ?

Думаешь ответы не верны?

Найди верный ответ на вопрос по предмету Геометрия, если вы не получили ответа или никто не дал верного ответа, то рекомендуется воспользоваться поиском и попытаться найти ответ на свой вопрос среди похожих запросов.

© 2025