UROKAMNET.RU
Все задания под рукой
Милада
03.11.2024

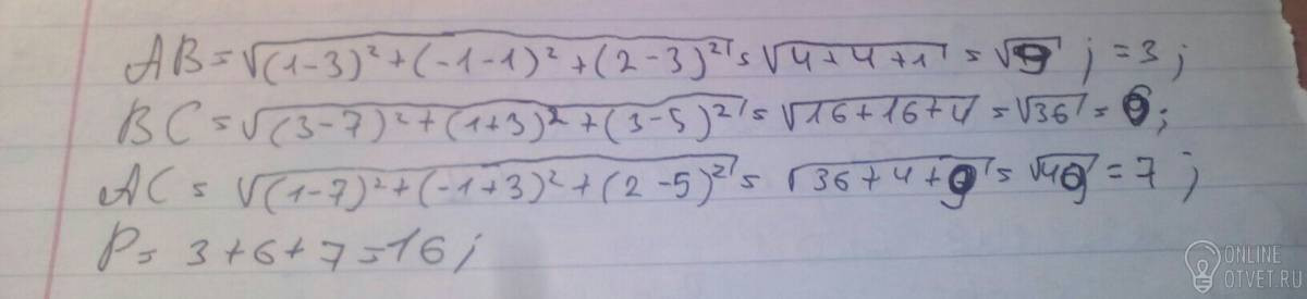
Периметр треугольника с вершинами А ( 1,-1, 2), В ( 3,1,3) и С ( 7,-3,5) равен

Ответы (1)

Знаете правильный ответ?

Думаешь ответы не верны?

Найди верный ответ на вопрос по предмету Геометрия, если вы не получили ответа или никто не дал верного ответа, то рекомендуется воспользоваться поиском и попытаться найти ответ на свой вопрос среди похожих запросов.

© 2025