UROKAMNET.RU
Все задания под рукой
Раббани
17.08.2024

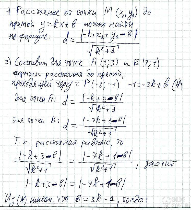
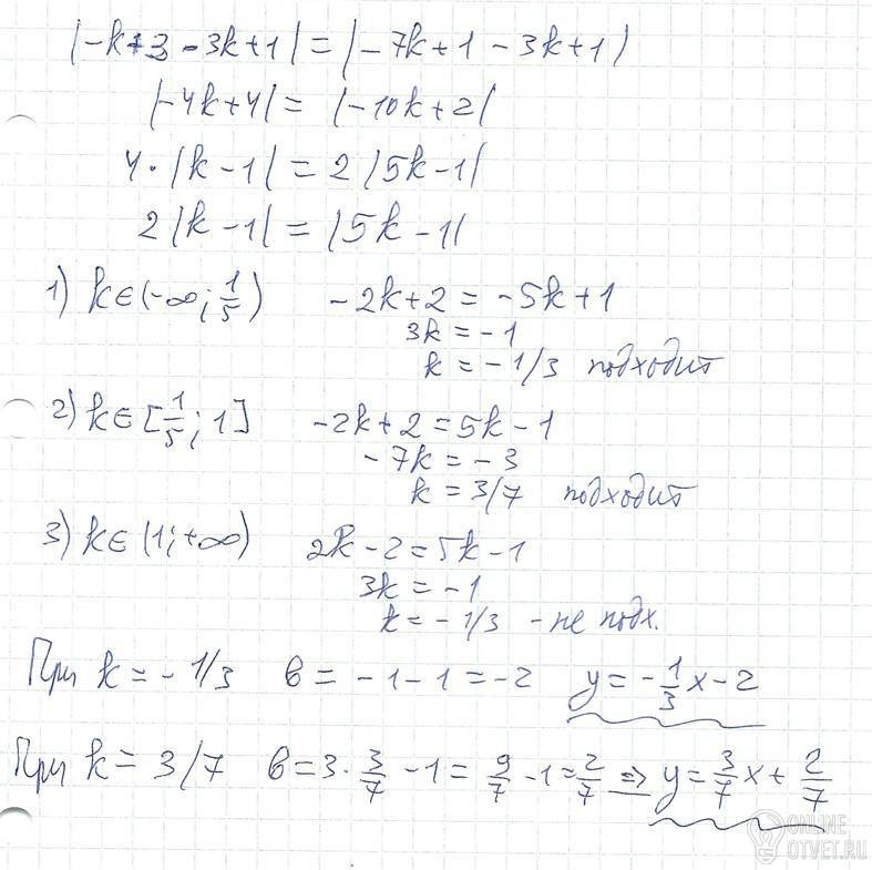
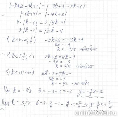
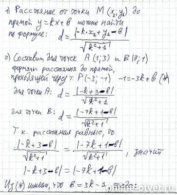
Через точку Р(-3;-1) провести прямую так, чтобы она прошла на одинаковом расстоянии от точек А(1;3) и В(7;1).

Ответы (1)

Знаете правильный ответ?

Думаешь ответы не верны?

Найди верный ответ на вопрос по предмету Геометрия, если вы не получили ответа или никто не дал верного ответа, то рекомендуется воспользоваться поиском и попытаться найти ответ на свой вопрос среди похожих запросов.

© 2025