UROKAMNET.RU
Все задания под рукой
Христя
26.08.2025

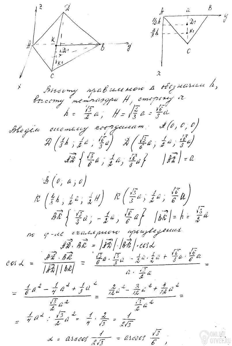
Помогите сроооооочно плззз найти угол между прямыми ad и bk в правильном тетраэдре dabc, если k середина ребра dc

Ответы (1)

Знаете правильный ответ?

Думаешь ответы не верны?

Найди верный ответ на вопрос по предмету Геометрия, если вы не получили ответа или никто не дал верного ответа, то рекомендуется воспользоваться поиском и попытаться найти ответ на свой вопрос среди похожих запросов.

© 2025