UROKAMNET.RU
Все задания под рукой
Енелия
19.01.2025

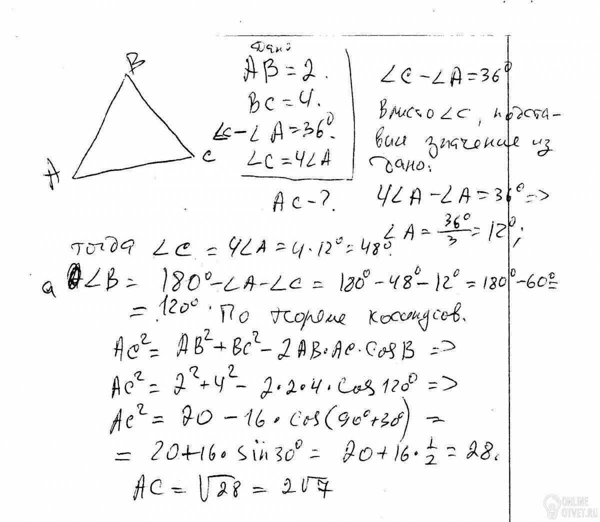
Найти сторону AC треугольника ABC,если известно,что AB = 2,BC=4,<C-<A=36° и угол C в 4 раза больше угла A.

Ответы (1)

Знаете правильный ответ?

Думаешь ответы не верны?

Найди верный ответ на вопрос по предмету Геометрия, если вы не получили ответа или никто не дал верного ответа, то рекомендуется воспользоваться поиском и попытаться найти ответ на свой вопрос среди похожих запросов.

© 2025