UROKAMNET.RU
Все задания под рукой
Агги
13.01.2025

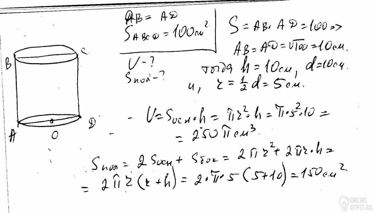
Осевое сечение цилиндра-квадрат,площадь которого равна S.Найдите площадь полной поверхности и объем цилиндра,если S=100 см^2

Ответы (1)

Знаете правильный ответ?

Думаешь ответы не верны?

Найди верный ответ на вопрос по предмету Геометрия, если вы не получили ответа или никто не дал верного ответа, то рекомендуется воспользоваться поиском и попытаться найти ответ на свой вопрос среди похожих запросов.

© 2025