UROKAMNET.RU
Все задания под рукой
Алесандра
31.12.2024

Пожалуйста помогите решить задачу по геометрии:
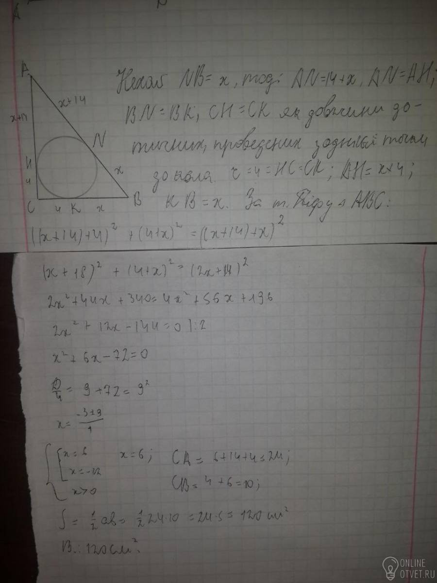
Точка дотику вписанного кола ділить гіпотенузу прямокутного трикутника на відрізки,один з яких на 14см більший за інший.Знайдіть площу трикутника, якщо радіус вписанного кола дорівнює 4см.
(Задача для 8-9 класса)

Ответы (1)

Знаете правильный ответ?

Думаешь ответы не верны?

Найди верный ответ на вопрос по предмету Геометрия, если вы не получили ответа или никто не дал верного ответа, то рекомендуется воспользоваться поиском и попытаться найти ответ на свой вопрос среди похожих запросов.

© 2025