UROKAMNET.RU
Все задания под рукой
Максун
21.11.2025

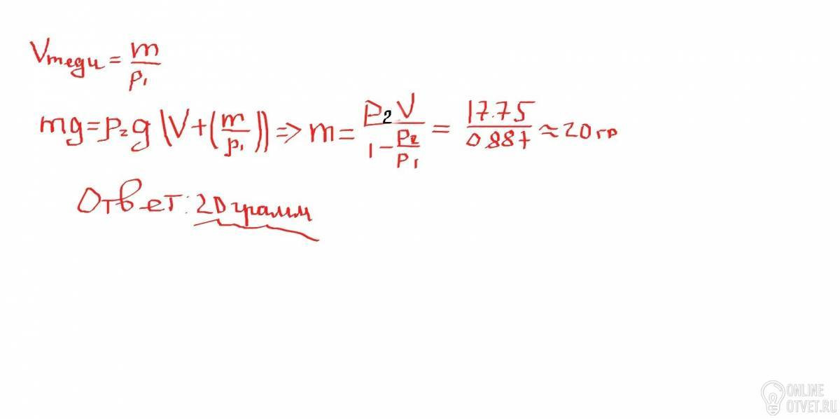
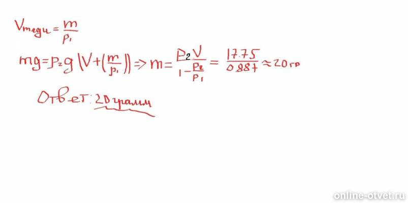
Полый медный шар плавает в воде при полном погружении чему равна масса шара если объем воздушной полости равен 17,75 см 3

Ответы (1)

Знаете правильный ответ?

Думаешь ответы не верны?

Найди верный ответ на вопрос по предмету Физика, если вы не получили ответа или никто не дал верного ответа, то рекомендуется воспользоваться поиском и попытаться найти ответ на свой вопрос среди похожих запросов.

Новые вопросы по предмету Физика:

  1. Ответов 1
  2. Ответов 2
  3. Ответов 1
  4. Ответов 1
  5. Ответов 1
  6. Ответов 1
  7. Ответов 1
  8. Ответов 1
  9. Ответов 1
  10. Ответов 1
© 2025