UROKAMNET.RU
Все задания под рукой
Есай
15.09.2025

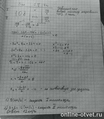
От пристани А к пристани В отправился с постоянной скоростью первый теплоход, а через 3 часа после этого следом за ним со скоростью, на 3 км/ч большей, отправился второй. Расстояние между пристанями равно 108 км. Найдите скорость второго теплохода, если в пункт В он прибыл одновременно с первым. Ответ дайте в км/ч.

Ответы (1)

Знаете правильный ответ?

Думаешь ответы не верны?

Найди верный ответ на вопрос по предмету Физика, если вы не получили ответа или никто не дал верного ответа, то рекомендуется воспользоваться поиском и попытаться найти ответ на свой вопрос среди похожих запросов.

Новые вопросы по предмету Физика:

  1. Ответов 1
  2. Ответов 2
  3. Ответов 1
  4. Ответов 1
  5. Ответов 1
  6. Ответов 1
  7. Ответов 1
  8. Ответов 1
  9. Ответов 1
  10. Ответов 1
© 2025