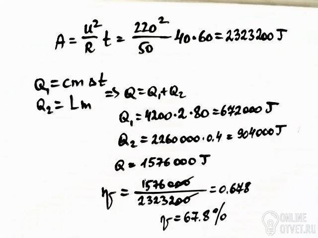
Электрическая плита включена в сеть напряжением 220 В. сопротивление спирали 50 Ом. На плитку поставили кастрюлю с водой, начальная температура которой равна 20°C, а объём - 2 л. Чему равен КПД плитки, если через 40 минут 400 г воды выкипело?
Ответы (1)
Несториан
17.05.2025
3
Электрическая плита включена в сеть напряжением 220 В. сопротивление спирали 50 Ом. На плитку поставили кастрюлю с водой, начальная температура которой равна 20°C, а объём - 2 л. Чему равен КПД плитки, если через 40 минут 400 г воды выкипело?
Знаете правильный ответ?
Думаешь ответы не верны?
Найди верный ответ на вопрос
по предмету Физика, если вы не получили
ответа или никто не дал верного ответа, то рекомендуется
воспользоваться поиском и попытаться найти ответ на свой
вопрос среди похожих запросов.
Электрическая плита включена в сеть напряжением 220 В. сопротивление спирали 50 Ом. На плитку поставили кастрюлю с водой, начальная температура которой равна 20°C, а объём - 2 л. Чему равен КПД плитки, если через 40 минут 400 г воды выкипело?