UROKAMNET.RU
Все задания под рукой
Еранос
28.03.2025

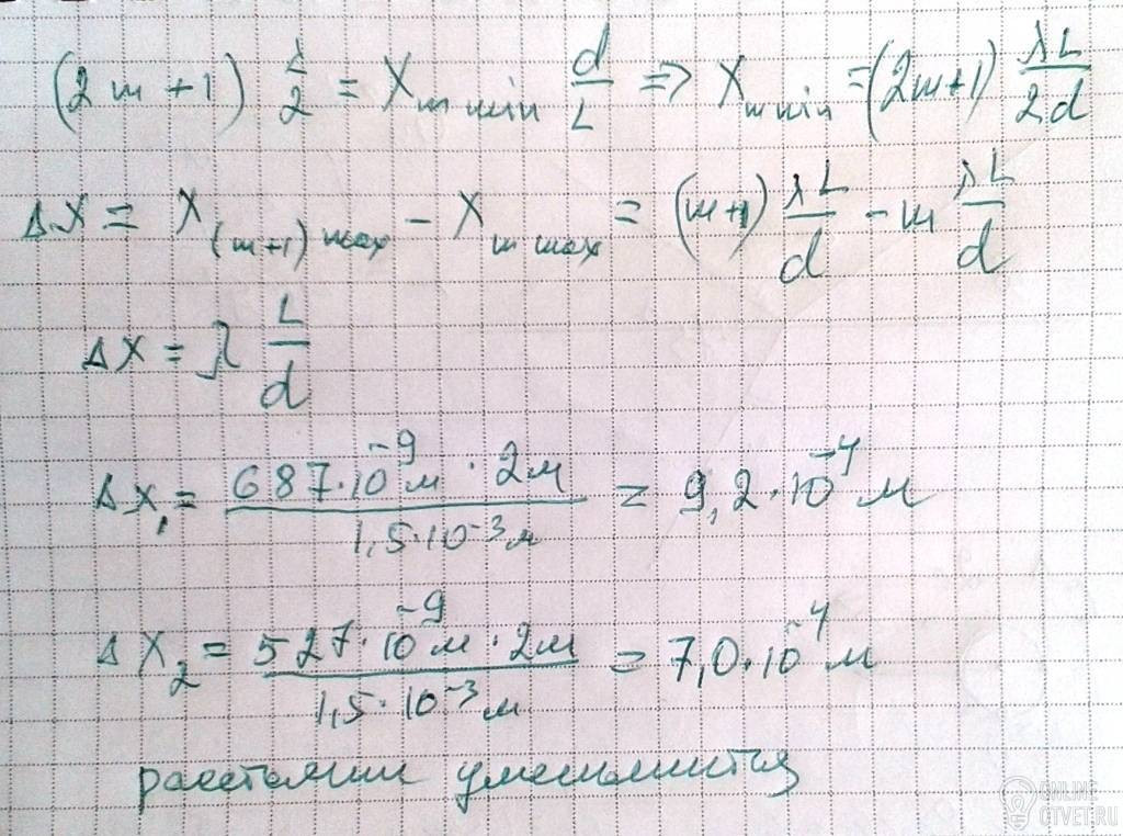
В установке Юнга расстояние между щелями 1,5 мм, экран располо-
жен на расстоянии 2 м от щелей. Щели освещаются источником с красным
светофильтром (λ = 687 нм). Определить расстояние между интерференцион-
ными полосами на экране. Как изменится расстояние между полосами, если
заменить красный светофильтр зеленым (λ = 527 нм)?

Ответы (1)

Знаете правильный ответ?

Думаешь ответы не верны?

Найди верный ответ на вопрос по предмету Физика, если вы не получили ответа или никто не дал верного ответа, то рекомендуется воспользоваться поиском и попытаться найти ответ на свой вопрос среди похожих запросов.

Новые вопросы по предмету Физика:

  1. Ответов 1
  2. Ответов 2
  3. Ответов 1
  4. Ответов 1
  5. Ответов 1
  6. Ответов 1
  7. Ответов 1
  8. Ответов 1
  9. Ответов 1
  10. Ответов 1
© 2025