UROKAMNET.RU
Все задания под рукой
Катюха
14.03.2025

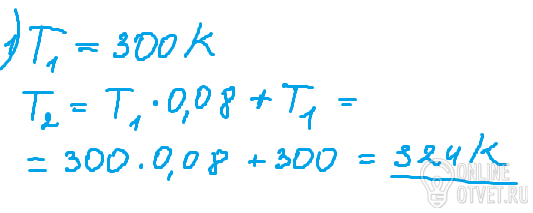
1температура газа была 300 к и возросла на 8 %.какой стала температура газа
2при нагревании идеального газа средняя квадратичная скорость теплового движения молекул увеличилась в 4 раза.

Ответы (1)

Знаете правильный ответ?

Думаешь ответы не верны?

Найди верный ответ на вопрос по предмету Физика, если вы не получили ответа или никто не дал верного ответа, то рекомендуется воспользоваться поиском и попытаться найти ответ на свой вопрос среди похожих запросов.

Новые вопросы по предмету Физика:

  1. Ответов 1
  2. Ответов 2
  3. Ответов 1
  4. Ответов 1
  5. Ответов 1
  6. Ответов 1
  7. Ответов 1
  8. Ответов 1
  9. Ответов 1
  10. Ответов 1
© 2025