UROKAMNET.RU
Все задания под рукой
Ифрозина
13.02.2025

Помогите!
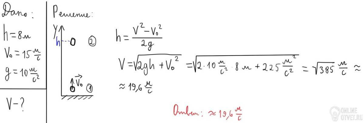
футбольний м'яч після удару футболіста піднявся на висоту 8 м. Якою була його швидкість на цій висоті, якщо початкова швидкість мяча 15 м/с? опором повітря можна знехтувати.

Ответы (1)

Знаете правильный ответ?

Думаешь ответы не верны?

Найди верный ответ на вопрос по предмету Физика, если вы не получили ответа или никто не дал верного ответа, то рекомендуется воспользоваться поиском и попытаться найти ответ на свой вопрос среди похожих запросов.

Новые вопросы по предмету Физика:

  1. Ответов 1
  2. Ответов 2
  3. Ответов 1
  4. Ответов 1
  5. Ответов 1
  6. Ответов 1
  7. Ответов 1
  8. Ответов 1
  9. Ответов 1
  10. Ответов 1
© 2025