UROKAMNET.RU
Все задания под рукой
Эльф
26.12.2025

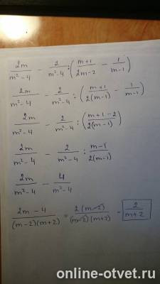
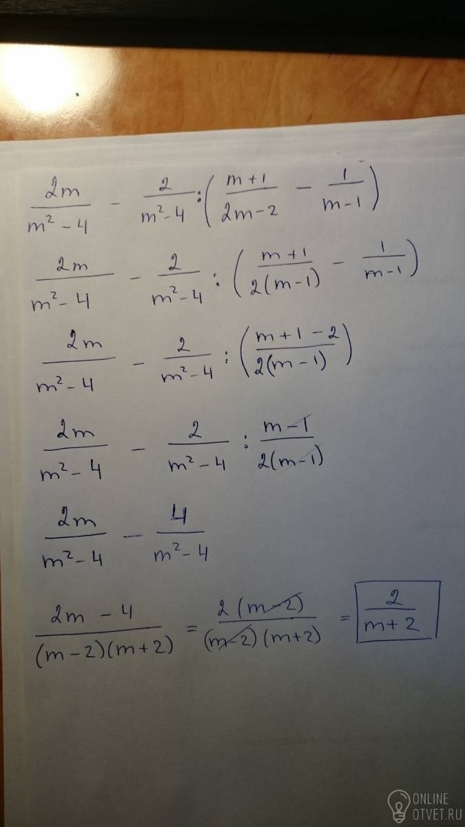
Упростите пожалуйста срочно

Ответы (1)

Знаете правильный ответ?

Думаешь ответы не верны?

Найди верный ответ на вопрос по предмету Алгебра, если вы не получили ответа или никто не дал верного ответа, то рекомендуется воспользоваться поиском и попытаться найти ответ на свой вопрос среди похожих запросов.

© 2025