UROKAMNET.RU
Все задания под рукой
Вартоломей
06.12.2025

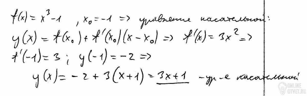
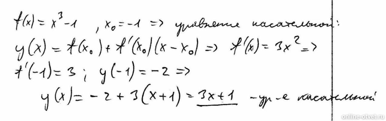
Написать уравнение касательной к графику функции f(x) в точке с абциссой x0 f(x)=x^3-1 , x0=-1

Ответы (1)

Знаете правильный ответ?

Думаешь ответы не верны?

Найди верный ответ на вопрос по предмету Алгебра, если вы не получили ответа или никто не дал верного ответа, то рекомендуется воспользоваться поиском и попытаться найти ответ на свой вопрос среди похожих запросов.

© 2025