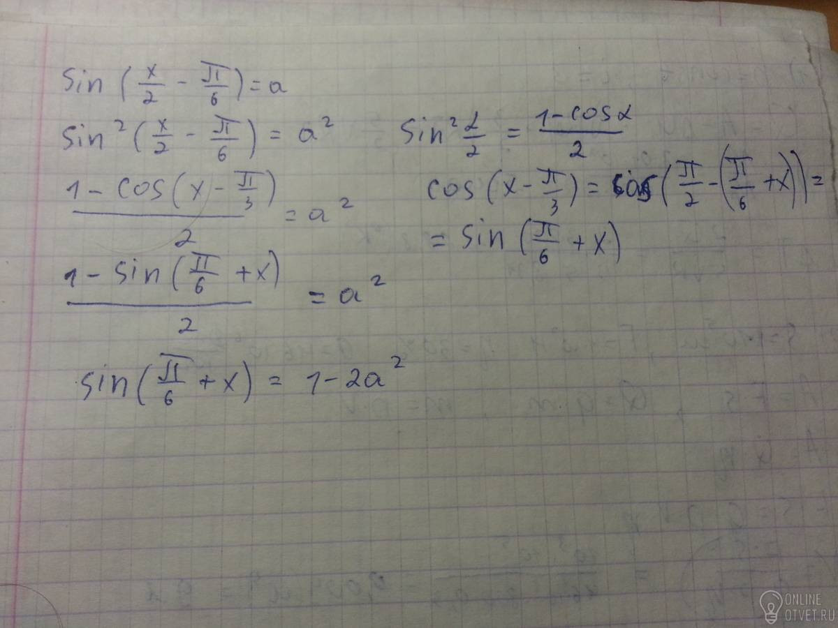
Возводим уравнение в квадрат, по формуле половинного аргумента переходим к косинусу. Потом по формуле приведения cos(пи\2-х)=sin(х) переходим опять к синусу и выражаем то, что нужно.
Знаете правильный ответ?
Думаешь ответы не верны?
Найди верный ответ на вопрос
по предмету Алгебра, если вы не получили
ответа или никто не дал верного ответа, то рекомендуется
воспользоваться поиском и попытаться найти ответ на свой
вопрос среди похожих запросов.
Возводим уравнение в квадрат, по формуле половинного аргумента переходим к косинусу. Потом по формуле приведения cos(пи\2-х)=sin(х) переходим опять к синусу и выражаем то, что нужно.