UROKAMNET.RU
Все задания под рукой
Апостол
03.11.2025

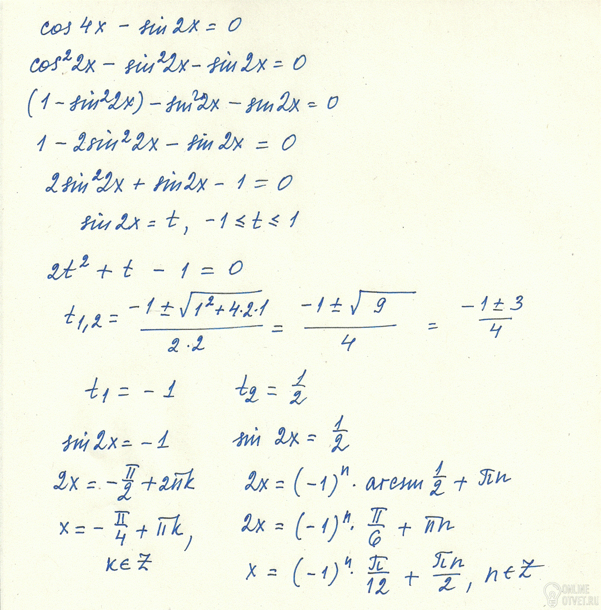
Cos4x-sin2x=0 помогите пожалуйста!

Ответы (1)

Знаете правильный ответ?

Думаешь ответы не верны?

Найди верный ответ на вопрос по предмету Алгебра, если вы не получили ответа или никто не дал верного ответа, то рекомендуется воспользоваться поиском и попытаться найти ответ на свой вопрос среди похожих запросов.

© 2025