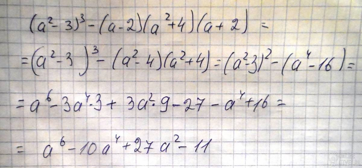
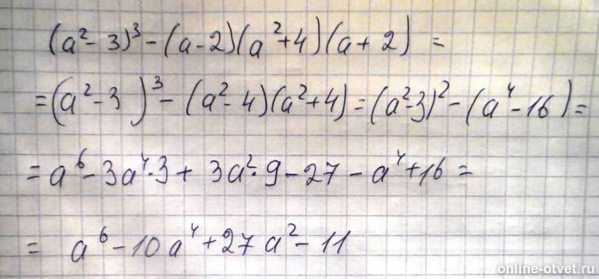
(а^2-3)^3-(а-2)(а^2+4)(а+2) Пожалуйста!! Не понимаю как можно решить)))
Ответы (1)
Гафар
01.11.2025
2
!!!!!!!!!!!!!!!!!!!!!!!!!!!!!!!!!
Знаете правильный ответ?
Думаешь ответы не верны?
Найди верный ответ на вопрос
по предмету Алгебра, если вы не получили
ответа или никто не дал верного ответа, то рекомендуется
воспользоваться поиском и попытаться найти ответ на свой
вопрос среди похожих запросов.
!!!!!!!!!!!!!!!!!!!!!!!!!!!!!!!!!