UROKAMNET.RU
Все задания под рукой
Вэйв
12.10.2025

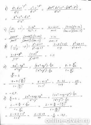
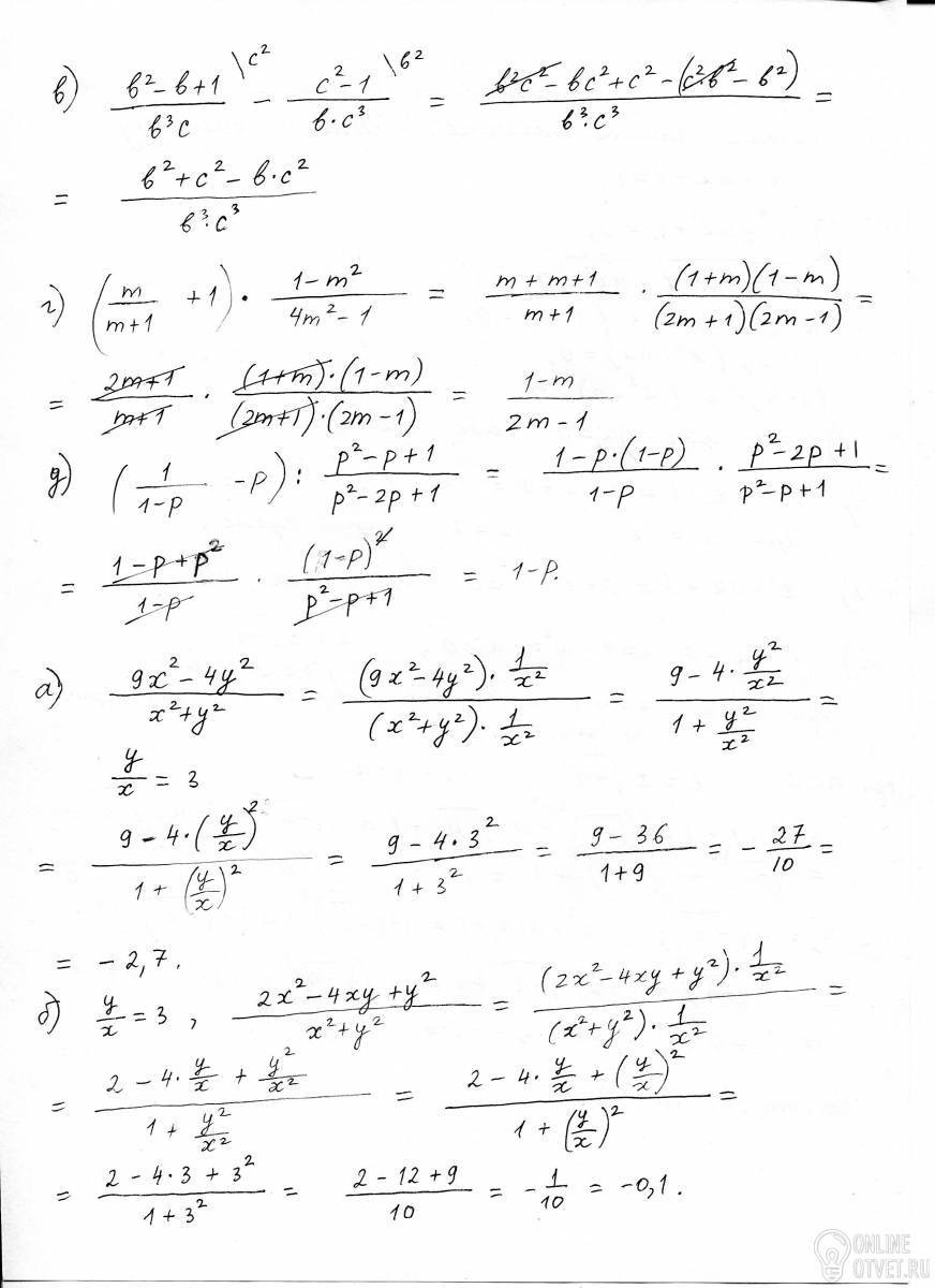
Помогите пожалуйста решить! в первом просто решить, а во-втором: полагая, что х/у=3 найти значение дроби.

Ответы (1)

Знаете правильный ответ?

Думаешь ответы не верны?

Найди верный ответ на вопрос по предмету Алгебра, если вы не получили ответа или никто не дал верного ответа, то рекомендуется воспользоваться поиском и попытаться найти ответ на свой вопрос среди похожих запросов.

© 2025